Задать свой вопрос
*более 50 000 пользователей получили ответ на «Решим всё»
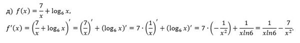
Задача 39931
помогите решить д)...
Условие
vk492803606
2019-09-25 16:52:14
помогите решить д)
математика 10-11 класс
566
Решение
u821511235
2019-09-25 17:36:50
★
Написать комментарий
Меню
Решим всё
Найти задачу
Категории
Статьи
Тесты
Архив задач
Присоединяйся в ВК