Задать свой вопрос
*более 50 000 пользователей получили ответ на «Решим всё»
Задача 39928
Помогите пожалуйста с алгеброй 8 класс!...
Условие
nazarova111
2019-09-25 16:38:01
Помогите пожалуйста с алгеброй 8 класс!
математика 8-9 класс
658
Решение
u821511235
2019-09-25 16:42:40
★
Все решения
vk201218220
2019-09-25 16:40:45
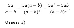
3)
Написать комментарий
Меню
Решим всё
Найти задачу
Категории
Статьи
Тесты
Архив задач
Присоединяйся в ВК