Задать свой вопрос
*более 50 000 пользователей получили ответ на «Решим всё»
Задача 39923
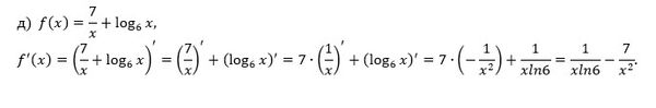
помогите решить номер д) ...
Условие
vk492803606
2019-09-25 15:45:42
помогите решить номер д)
математика 10-11 класс
608
Решение
u821511235
2019-09-25 18:18:08
★
Все решения
vk201218220
2019-09-25 15:49:17
y'=-7/x^2+1/(x*ln6)
Написать комментарий
Меню
Решим всё
Найти задачу
Категории
Статьи
Тесты
Архив задач
Присоединяйся в ВК