Задать свой вопрос
*более 50 000 пользователей получили ответ на «Решим всё»
Задача 39918
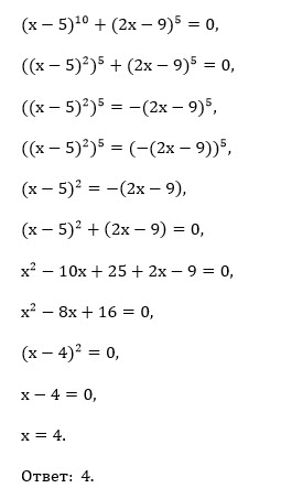
Решить уравнение: (x-5)^(10)+(2x-9)^5 =...
Условие
zotov777
2019-09-25 15:32:32
Решить уравнение:
(x-5)^(10)+(2x-9)^5 = 0
математика 10-11 класс
1618
Решение
u821511235
2019-09-25 23:11:56
★
Написать комментарий
Меню
Решим всё
Найти задачу
Категории
Статьи
Тесты
Архив задач
Присоединяйся в ВК