Задать свой вопрос
*более 50 000 пользователей получили ответ на «Решим всё»
Задача 39917
помогите решить ...
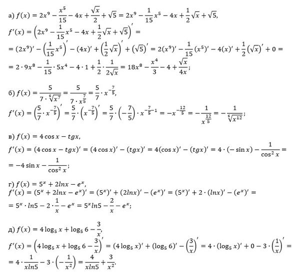
Условие
vk492803606
2019-09-25 15:23:49
помогите решить
математика 10-11 класс
573
Решение
u821511235
2019-09-25 15:29:32
★
Написать комментарий
Меню
Решим всё
Найти задачу
Категории
Статьи
Тесты
Архив задач
Присоединяйся в ВК