Задать свой вопрос
*более 50 000 пользователей получили ответ на «Решим всё»
Задача 39911
...
Условие
vk234128108
2019-09-25 13:08:19
Решить уравнение
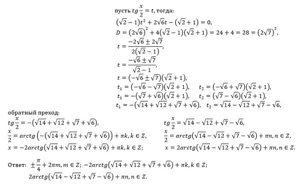
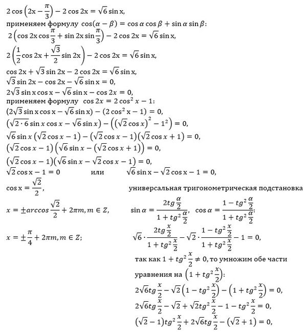
2cos(2x-p/3)-2cos2x=√6sinx
математика 10-11 класс
2733
Решение
u821511235
2019-09-25 18:21:19
★
Написать комментарий
Меню
Решим всё
Найти задачу
Категории
Статьи
Тесты
Архив задач
Присоединяйся в ВК