Задать свой вопрос   *более 50 000 пользователей получили ответ на «Решим всё»

Задача 39892 Задание 2. Вычислить производные данных...

Условие

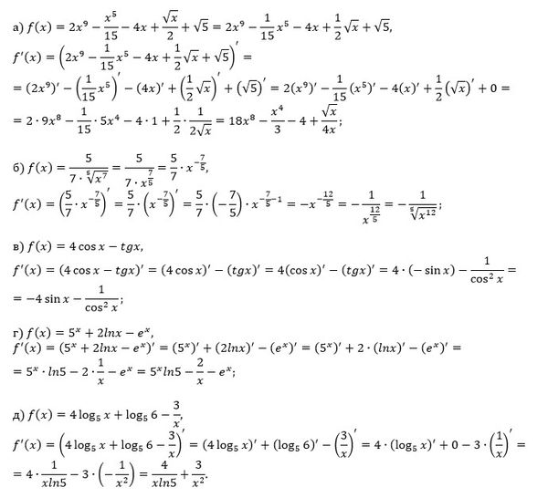
Задание 2. Вычислить производные данных функций, пользуясь таблицей производных и соответствующими правилами дифференцирования:

математика 10-11 класс 737

Решение

Написать комментарий

Меню

Присоединяйся в ВК