Задать свой вопрос
*более 50 000 пользователей получили ответ на «Решим всё»
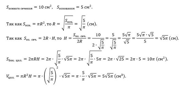
Задача 39878
Решите задачу по теме "Цилиндр"...
Условие
ultraman
2019-09-24 21:37:22
Решите задачу по теме "Цилиндр"
предмет не задан 10-11 класс
565
Решение
u821511235
2019-09-24 22:32:01
★
Написать комментарий
Меню
Решим всё
Найти задачу
Категории
Статьи
Тесты
Архив задач
Присоединяйся в ВК