Задать свой вопрос
*более 50 000 пользователей получили ответ на «Решим всё»
Задача 39862
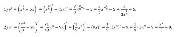
Найдите производную 1 первого и второго...
Условие
vk288952222
2019-09-24 20:53:41
Найдите производную 1 первого и второго выражения
предмет не задан
562
Решение
u821511235
2019-09-24 21:09:24
★
Все решения
katyanutl
2019-09-24 21:02:11
Второе
y`= 3x^2-9
Написать комментарий
Меню
Решим всё
Найти задачу
Категории
Статьи
Тесты
Архив задач
Присоединяйся в ВК