Задать свой вопрос
*более 50 000 пользователей получили ответ на «Решим всё»
Задача 39740
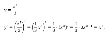
Как найти производную y=x^3/3 подробно...
Условие
kodzimageniy
2019-09-22 11:10:39
Как найти производную y=x^3/3 подробно
математика 10-11 класс
2746
Решение
u821511235
2019-09-22 11:16:02
★
Написать комментарий
Меню
Решим всё
Найти задачу
Категории
Статьи
Тесты
Архив задач
Присоединяйся в ВК