Задать свой вопрос
*более 50 000 пользователей получили ответ на «Решим всё»
Задача 39730
Решите неравенство y' меньше 0, если:...
Условие
vk50803477
2019-09-22 09:26:53
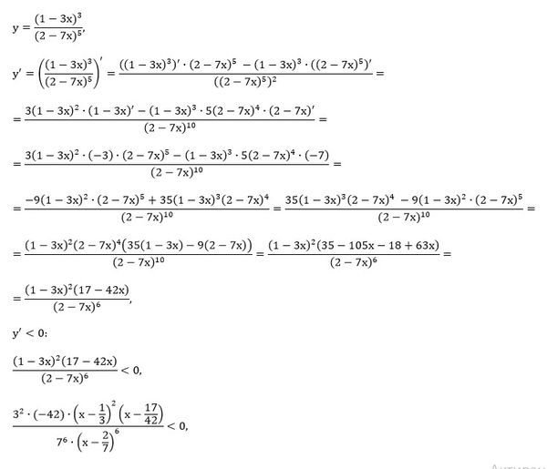
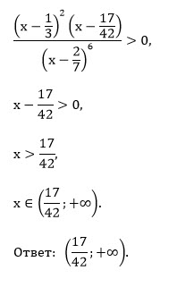
Решите неравенство y' меньше 0, если:
y=((1-3x)^3)/((2-7x)^5) .
предмет не задан
1606
Решение
u821511235
2019-09-22 11:12:19
★
Написать комментарий
Меню
Решим всё
Найти задачу
Категории
Статьи
Тесты
Архив задач
Присоединяйся в ВК