Задать свой вопрос
*более 50 000 пользователей получили ответ на «Решим всё»
Задача 39728
3. Найдите значение производной функции...
Условие
vk50803477
2019-09-22 09:23:39
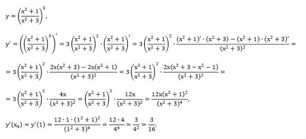
3. Найдите значение производной функции в точке x_0:
y=((x^2+1)/(x^2+3))^3, если x_0 равно 1.
предмет не задан
649
Решение
u821511235
2019-09-22 10:43:17
★
Написать комментарий
Меню
Решим всё
Найти задачу
Категории
Статьи
Тесты
Архив задач
Присоединяйся в ВК