Задать свой вопрос
*более 50 000 пользователей получили ответ на «Решим всё»
Задача 39726
...
Условие
vk50803477
2019-09-22 09:16:38
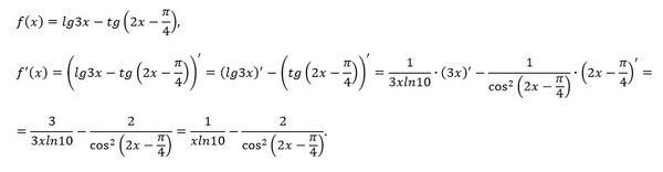
Найти производную функции
f(x)=lg(3x)-tg(2x-(π/4)).
предмет не задан
1420
Решение
u821511235
2019-09-22 10:30:45
★
Написать комментарий
Меню
Решим всё
Найти задачу
Категории
Статьи
Тесты
Архив задач
Присоединяйся в ВК