Задать свой вопрос
*более 50 000 пользователей получили ответ на «Решим всё»
Задача 39662
...
Условие
vk510130883
2019-09-20 00:47:51
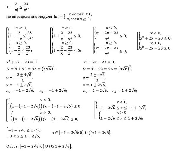
1–2/|x| ≤ 23/x^2 решите неравенство
математика 10-11 класс
1087
Все решения
u821511235
2019-09-20 07:01:19
Написать комментарий
Меню
Решим всё
Найти задачу
Категории
Статьи
Тесты
Архив задач
Присоединяйся в ВК