Задать свой вопрос
*более 50 000 пользователей получили ответ на «Решим всё»
Задача 39657
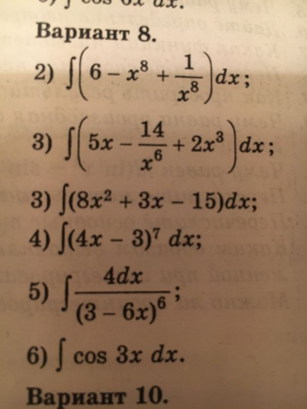
Найдите неопределённые интегралы...
Условие
89889241608
2019-09-19 20:32:11
Найдите неопределённые интегралы
математика ВУЗ
756
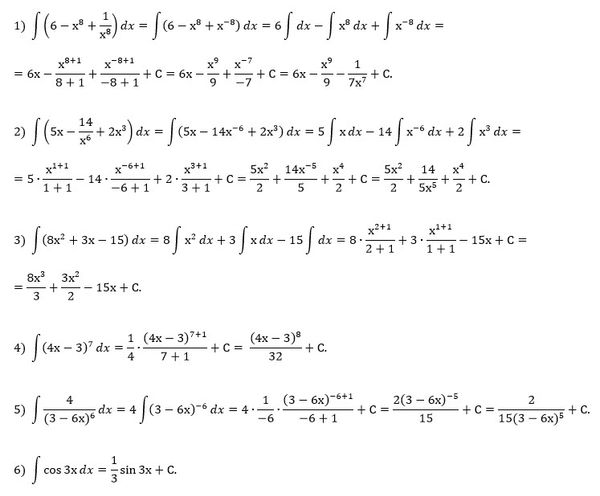
Решение
u821511235
2019-09-20 00:14:33
★
Все решения
vk201218220
2019-09-19 23:20:47
2) 6x-x^9/9-1/7*x^7
Написать комментарий
Меню
Решим всё
Найти задачу
Категории
Статьи
Тесты
Архив задач
Присоединяйся в ВК