Задать свой вопрос   *более 50 000 пользователей получили ответ на «Решим всё»

Задача 39656 ...

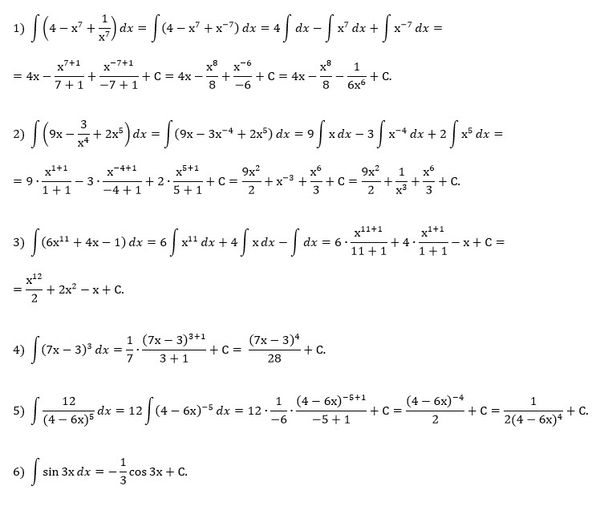
Условие

Вариант 7.

1) ∫(4 - x^7 + (1/x^7))dx;

2) ∫(9x - (3/x^4) + 2x^5)dx;

3) ∫(6x^(11) + 4x - 1)dx;

4) ∫(7x - 3)^3 dx;

5) ∫(12dx/(4 - 6x)^5;

6) ∫ sin 3x dx.

математика ВУЗ 790

Все решения

Написать комментарий

Меню

Присоединяйся в ВК