Задать свой вопрос
*более 50 000 пользователей получили ответ на «Решим всё»
Задача 39653
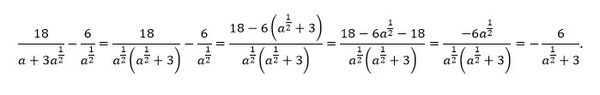
18/(a+3a^(1/2)) - 6/a^(1/2)...
Условие
vk306899767
2019-09-19 20:00:13
18/(a+3a^(1/2)) - 6/a^(1/2)
математика 8-9 класс
928
Решение
u821511235
2019-09-19 21:24:41
★
Написать комментарий
Меню
Решим всё
Найти задачу
Категории
Статьи
Тесты
Архив задач
Присоединяйся в ВК