Задать свой вопрос   *более 50 000 пользователей получили ответ на «Решим всё»

Задача 39632 а) Решите уравнение...

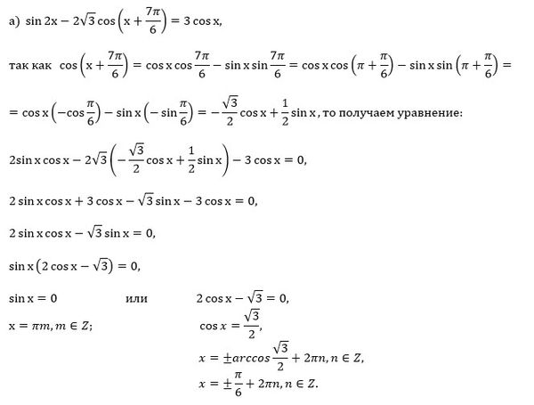
Условие

а) Решите уравнение sin2x-2sqrt(3)cos(x+[m]\frac{7\pi}{6}[/m]) = 3cosx

б) Найдите корни этого уравнения, принадлежащие отрезку [m][-\frac{3\pi}{2}; 0][/m]

математика 10-11 класс 3041

Решение

Написать комментарий

Меню

Присоединяйся в ВК