Задать свой вопрос   *более 50 000 пользователей получили ответ на «Решим всё»

Задача 3961 ...

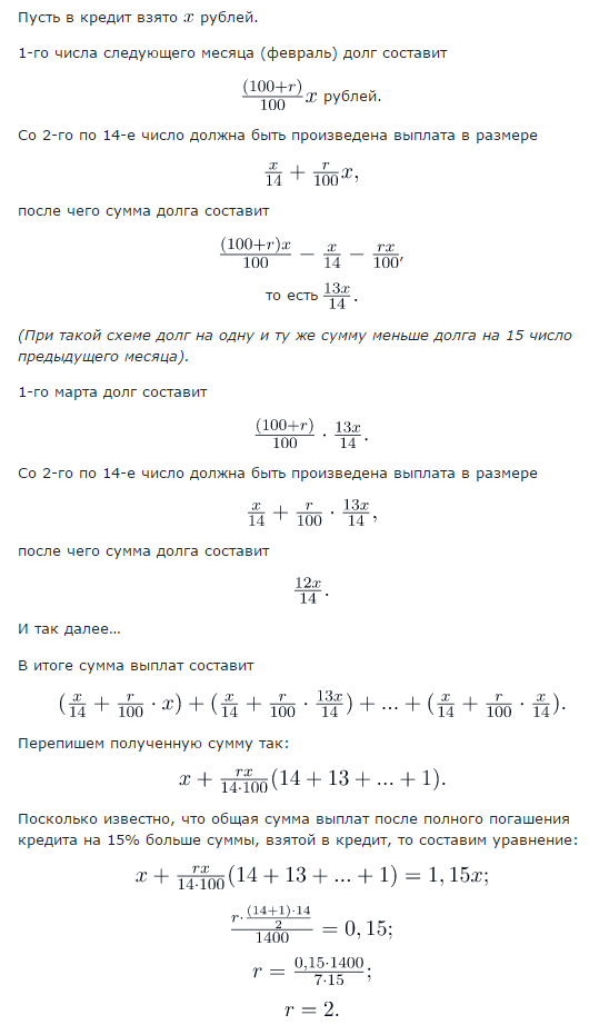
Условие

15‐го января планируется взять кредит в банке на 14 месяцев. Условия его возврата таковы:
‐ 1‐го числа каждого месяца долг возрастает на r% по сравнению с концом предыдущего месяца;
‐ со 2‐го по 14‐е число каждого месяца необходимо выплатить часть долга;
‐ 15‐ го числа каждого месяца долг должен быть на одну и ту же сумму меньше долга на 15 число предыдущего месяца.
Известно, что общая сумма выплат после полного погашения кредита на 15% больше суммы, взятой в кредит. Найдите r.

математика 10-11 класс 29195

Решение



Ответ: 2

Вопросы к решению (1)

Написать комментарий

Категория

Меню

Присоединяйся в ВК