Задать свой вопрос
*более 50 000 пользователей получили ответ на «Решим всё»
Задача 39609
...
Условие
ultraman
2019-09-18 20:56:42
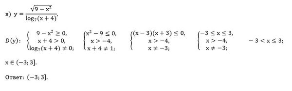
Найдите D(y): а) y=√x²-7x+10 ; б) y = log₄ (16−x² / x+5) ; в) y = √9−x² / log₇ (x+4)
математика 10-11 класс
1249
Решение
u821511235
2019-09-18 21:30:03
★
Написать комментарий
Меню
Решим всё
Найти задачу
Категории
Статьи
Тесты
Архив задач
Присоединяйся в ВК