Задать свой вопрос
*более 50 000 пользователей получили ответ на «Решим всё»
Задача 39602
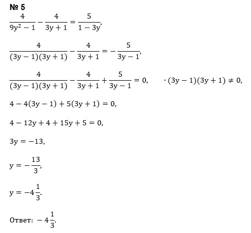
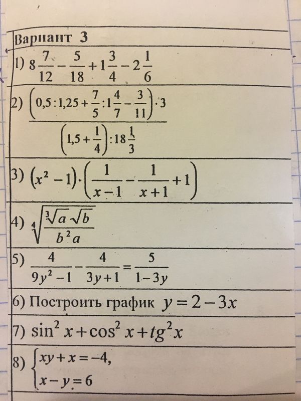
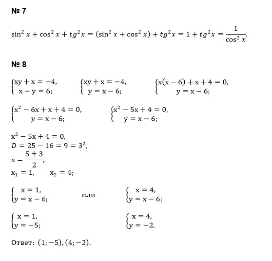
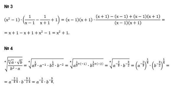
Решите пожалуйста ...
Условие
suzi2842004
2019-09-18 18:37:22
Решите пожалуйста
математика
639
Решение
u821511235
2019-09-18 19:40:39
★
Написать комментарий
Меню
Решим всё
Найти задачу
Категории
Статьи
Тесты
Архив задач
Присоединяйся в ВК