Задать свой вопрос
*более 50 000 пользователей получили ответ на «Решим всё»
Задача 39601
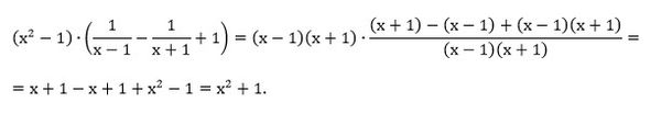
(x^(2)-1)*((1/(x-1))-(1/(x+1))+1)...
Условие
suzi2842004
2019-09-18 18:35:51
(x^(2)-1)*((1/(x-1))-(1/(x+1))+1)
математика 10-11 класс
578
Решение
u821511235
2019-09-18 18:44:20
★
Написать комментарий
Меню
Решим всё
Найти задачу
Категории
Статьи
Тесты
Архив задач
Присоединяйся в ВК