Задать свой вопрос   *более 50 000 пользователей получили ответ на «Решим всё»

Задача 39569 ПОМОГИТЕ РЕШИТЬ 2.2 и 2.3...

Условие

ПОМОГИТЕ РЕШИТЬ 2.2 и 2.3

математика 10-11 класс 573

Решение

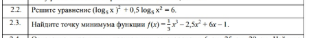
2.2.

ОДЗ: х > 0

В условиях ОДЗ:

log_(5) x^2=2*log_(5)x

Уравнение принимает вид:

(log_(5)x)^2+0,5*2*log_(5)x=6

Квадратное уравнение:
(log_(5)x)^2 + log_(5)x - 6 = 0

D=1-4*(-6)=1+24=25

log_(5)x=-3 или log_(5)x=2
x=5^(-3) или x=5^2
x=[m]\frac{1}{125}[/m] или x=25

Оба корня входят в ОДЗ

О т в е т. [m]\frac{1}{125}[/m] ; 25

2.3
y`= x^2-5x+6

y`=0

D=25-24=1

x_(1)=(5-1)/2=1; x_(2)=(5+1)/2=3

Знак производной:
__+_ (1) __-___ (3) __+__

График производной y`= x^2-5x+6 парабола, ветви вверх.
Такая парабола расположена ниже оси Ох на (1;3). Поэтому там знак -, а на двух смежных интервалах знак +

х=3 - точка минимума. Производная меняет знак с - на +

Написать комментарий

Меню

Присоединяйся в ВК