Задать свой вопрос   *более 50 000 пользователей получили ответ на «Решим всё»

Задача 39520 7. Верно ли, что если функция непрерывна...

Условие

7. Верно ли, что если функция непрерывна в точке, то она имеет в этой точке производную? Ответ поясните на примерах.

математика 1284

Решение

Нет.
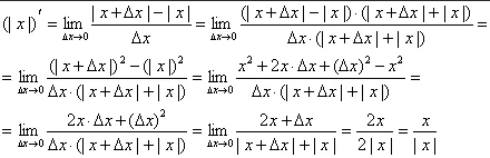
Например, функция y=|x| непрерывна 0, но производная не существует.

Если х ≥ 0 , то |x|=x

x`=1

Если х < 0, то |x|=-x

(-х)` = - 1

или так:

Написать комментарий

Меню

Присоединяйся в ВК