Задать свой вопрос
*более 50 000 пользователей получили ответ на «Решим всё»
Задача 39473
...
Условие
vk506838918
2019-09-15 14:52:34
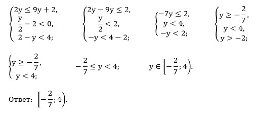
{2y ≤ 9y+2
{y/2 -2 <0
2-y<4
математика 10-11 класс
680
Все решения
u821511235
2019-09-15 15:10:42
Написать комментарий
Меню
Решим всё
Найти задачу
Категории
Статьи
Тесты
Архив задач
Присоединяйся в ВК