Задать свой вопрос
*более 50 000 пользователей получили ответ на «Решим всё»
Задача 39472
Упростите...
Условие
aus3er
2019-09-15 14:47:45
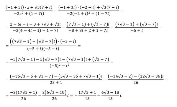
Упростите выражение:
(-1+3i)*z+sqrt(3)(7+i)/-2z^(2)+(1-7i), где z= -2+i
математика ВУЗ
1419
Решение
u821511235
2019-09-15 15:30:51
★
Написать комментарий
Меню
Решим всё
Найти задачу
Категории
Статьи
Тесты
Архив задач
Присоединяйся в ВК