Задать свой вопрос
*более 50 000 пользователей получили ответ на «Решим всё»
Задача 39343
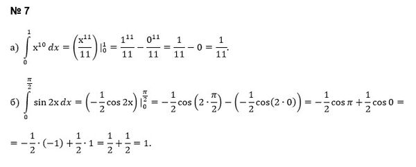
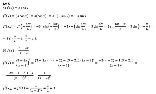
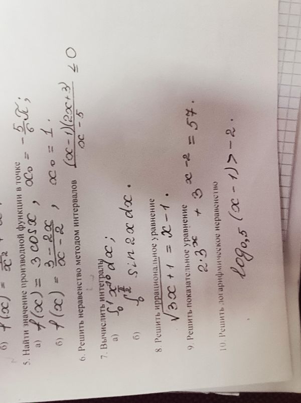
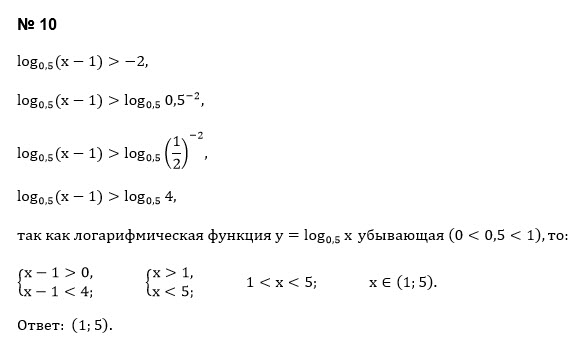
Решите с пятого по десятый)) даже если...
Условие
husskie
2019-09-10 21:48:13
Решите с пятого по десятый)) даже если решите 3-4задачи буду рад.
математика 10-11 класс
479
Решение
u821511235
2019-09-10 22:29:13
★
Написать комментарий
Меню
Решим всё
Найти задачу
Категории
Статьи
Тесты
Архив задач
Присоединяйся в ВК