Задать свой вопрос   *более 50 000 пользователей получили ответ на «Решим всё»

Задача 39332 ...

Условие

ПОМОГИТЕ ПОЖАЛУЙСТА
lim x → 0 sin2x/tg4x

математика 10-11 класс 2364

Решение

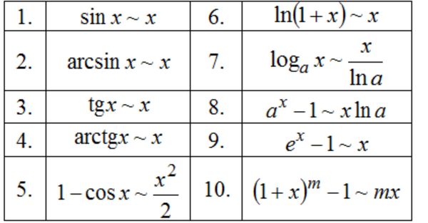
Для вычисление подобных пределов пользуйтесь таблицей эквивалентов бесконечно малых функций (я ее прикрепил)

В ваше случае lim sin2x/tg4x = 2x/4x = 1/2

Написать комментарий

Меню

Присоединяйся в ВК