Задать свой вопрос   *более 50 000 пользователей получили ответ на «Решим всё»

Задача 39224 (1/6 + 0,1 + 1/15) : (1/6 + 0,1 - 1/15)...

Условие

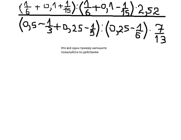
(1/6 + 0,1 + 1/15) : (1/6 + 0,1 - 1/15) * 2,52
-------------------------
(0,5 - 1/3 + 0,25 - 1/5) : (0,25 - 1/6) * 7/13

Это всё один пример напишите пожалуйста по действиям

математика 2090

Решение

Написать комментарий

Меню

Присоединяйся в ВК