Задать свой вопрос   *более 50 000 пользователей получили ответ на «Решим всё»

Задача 39205 Найти относительное количество свободных...

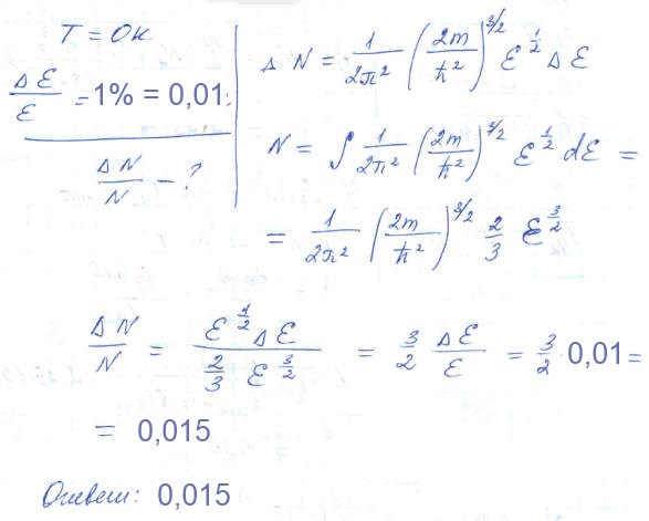
Условие

Найти относительное количество свободных электронов в металле, энергия которых отличаются от энергии Ферми не больше, чем на n = 1,0%, если температура металла Т = 0.

предмет не задан 4112

Решение

Написать комментарий

Меню

Присоединяйся в ВК