Задать свой вопрос
*более 50 000 пользователей получили ответ на «Решим всё»
Задача 39053
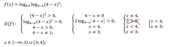
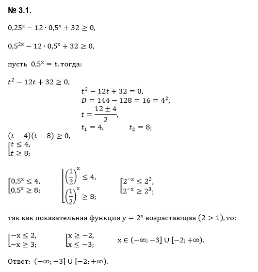
помогите решить 3.1 и 3.2 ...
Условие
vk280770680
2019-08-29 06:36:09
помогите решить 3.1 и 3.2
математика 10-11 класс
755
Решение
u821511235
2019-08-30 07:30:56
★
Все решения
sova
2019-08-30 10:15:02
Написать комментарий
Меню
Решим всё
Найти задачу
Категории
Статьи
Тесты
Архив задач
Присоединяйся в ВК