Задать свой вопрос
*более 50 000 пользователей получили ответ на «Решим всё»
Задача 39031
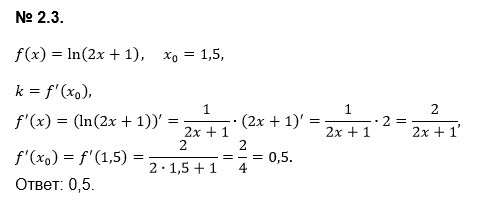
Помогите решить 2.3 и 2.4 ...
Условие
vk492803606
2019-08-28 06:50:37
Помогите решить 2.3 и 2.4
математика 10-11 класс
526
Решение
u821511235
2019-08-28 07:25:59
★
Написать комментарий
Меню
Решим всё
Найти задачу
Категории
Статьи
Тесты
Архив задач
Присоединяйся в ВК