Задать свой вопрос
*более 50 000 пользователей получили ответ на «Решим всё»
Задача 39027
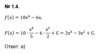
Помогите решить номер 1.3 и 1.4 ...
Условие
vk492803606
2019-08-28 06:44:54
Помогите решить номер 1.3 и 1.4
математика 10-11 класс
515
Решение
u821511235
2019-08-28 06:58:50
★
Написать комментарий
Меню
Решим всё
Найти задачу
Категории
Статьи
Тесты
Архив задач
Присоединяйся в ВК