Задать свой вопрос
*более 50 000 пользователей получили ответ на «Решим всё»
Задача 39009
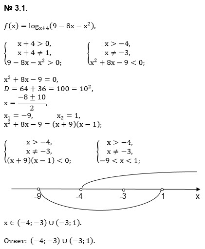
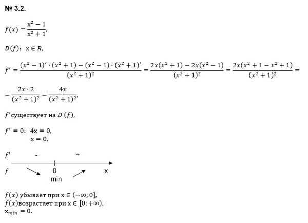
помогите решить 3.1 и 3.2 ...
Условие
vk280770680
2019-08-27 07:09:23
помогите решить 3.1 и 3.2
математика 10-11 класс
527
Решение
u821511235
2019-08-27 09:22:51
★
Написать комментарий
Меню
Решим всё
Найти задачу
Категории
Статьи
Тесты
Архив задач
Присоединяйся в ВК