Задать свой вопрос   *более 50 000 пользователей получили ответ на «Решим всё»

Задача 39007 Помогите решить 2.3 и 2.4 2.4 В...

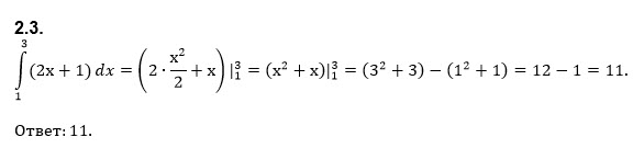
Условие

Помогите решить 2.3 и 2.4

2.4 В нижнем основании цилиндра проведена хорда, которая видна т центра нижнего основания под углом 90°, а из центра верхнего основания - под углом 60. Найдите площадь боковой поверхности цилиндра основания равен 4 см

математика 10-11 класс 12143

Решение

Написать комментарий

Меню

Присоединяйся в ВК