Задать свой вопрос   *более 50 000 пользователей получили ответ на «Решим всё»

Задача 38964 Решите неравенство [block]log(x+3)...

Условие

Решите неравенство

[block]log(x+3) ((1+x^2)/(1-x^2)) > 0[/block]

математика 10-11 класс 1171

Решение

Все решения

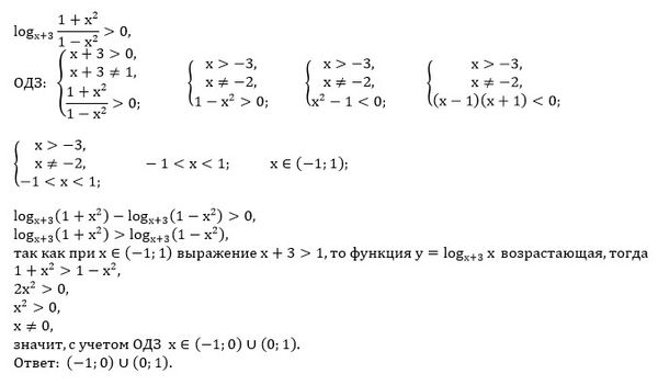
ОДЗ:
{x+3>0 ⇒ x > - 3
{x+3 ≠ 1 ⇒ x ≠ - 2
{(1+x^2)/(1-x^2)>0 ⇒ 1-x^2 > 0 ⇒ -1 < x < 1

x ∈(–1;1)


Так как
0=log_(x+3)1

Неравенство принимает вид:
log_(x+3)(1+x^2)/(1-x^2) > log_(x+3)1

При x ∈(–1;1) ,
2<x+3<4
логарифмическая функция возрастает, тогда
(1+x^2)/(1-x^2) > 1

(1+x^2)/(1-x^2) - 1 > 0

(1+x^2-1+x^2)/(1-x^2) > 0
2x^2/(1-x^2) >0

x ≠ 0
x ∈ (–1;0)U(0;1)

C учетом ОДЗ получаем ответ:

[b](-1;0) U(0;1)[/b]

Написать комментарий

Меню

Присоединяйся в ВК