Задать свой вопрос   *более 50 000 пользователей получили ответ на «Решим всё»

Задача 38963 ...

Условие

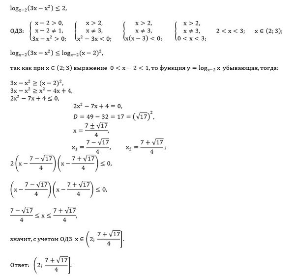
Решите неравенство log(x-2)(3x-x^2) ≤ 2

математика 10-11 класс 2061

Решение

Все решения

ОДЗ:
{x-2>0 ⇒ x >2
{x- 2 ≠ 1 ⇒ x ≠ 3
{3x-x^2>0 ⇒ x(3-x) > 0 ⇒ 0 < x < 3


[b]x ∈(2;3) [/b]


Так как
2=log_(x-2)(x-2)^2

Неравенство принимает вид:
log_(x-2)(3x-x^2) [b] ≤[/b] log_(x-2)(x-2)^2

так как при x ∈(2;3)
0<x-2<1, логарифмическая функция убывает, тогда
3x-x^2 [b]≥[/b] (x-2)^2

3x-x^2 ≥ x^2-4x+4

2x^2-7x+4 ≤ 0

D=49-4*2*4=17

корни x_(1)=(7-sqrt(17))/4; х_(2)=(7+sqrt(17))/4

[b]x ∈[ (7-sqrt(17))/4; (7+sqrt(17))/4 ][/b]

(7+sqrt(17))/4 < 3
так как
7+sqrt(17) < 12
sqrt(17) < 5

C учетом ОДЗ получаем ответ:
[b](2;(7+sqrt(17))/4 ][/b]

Написать комментарий

Категория

Меню

Присоединяйся в ВК