Задать свой вопрос   *более 50 000 пользователей получили ответ на «Решим всё»

Задача 3895 а) 4^x-2^(x+3)+12 = 0 б) Укажите корни,...

Условие

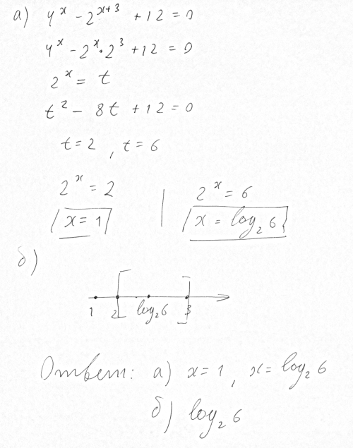
а) 4^x-2^(x+3)+12 = 0
б) Укажите корни, принадлежащие отрезку [2;3]

математика 10-11 класс 33221

Решение

В реальных ЕГЭ таких заданий не бывает, ну по крайней мере на моей памяти, но все таки отличная тренировка на показательные уравнения.

Ответ: В решение

Все решения

Написать комментарий

Меню

Присоединяйся в ВК