Задать свой вопрос   *более 50 000 пользователей получили ответ на «Решим всё»

Задача 3894 Компания Яндекс-Маркет вычисляет рейтинг...

Условие

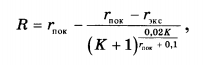
Компания Яндекс-Маркет вычисляет рейтинг интернет-магазинов по формуле (на картинке)

где rцок — средняя оценка магазина покупателями (от 0 до 1), rэкс — оценка магазина экспертами компании (от 0 до 0,7) и К — число покупателей, оценивших магазин.

Найдите рейтинг интернет-магазина "Эпсилон", если число покупателей, оставивших отзыв о магазине, равно 24, их средняя оценка равна 0,86, а оценка экспертов равна 0,61.

математика 10-11 класс 13764

Решение

R = 0.86 - (0.86-0.61) / (24+1)^(0.02*K/(0.86+0.1)

задания очень просто, по сути тупо подставить числа в формулу, но вычисления....


Ответ: 0.81

Вопросы к решению (3)

Написать комментарий

Меню

Присоединяйся в ВК