Задать свой вопрос
*более 50 000 пользователей получили ответ на «Решим всё»
Задача 38924
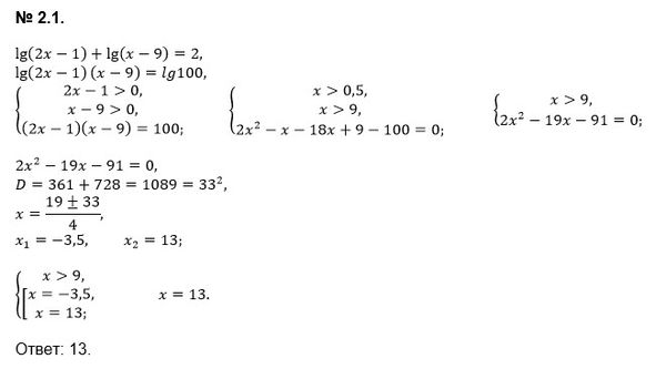
Помогите решить 2.1 и 2.2 ...
Условие
vk492803606
2019-08-24 06:00:18
Помогите решить 2.1 и 2.2
математика 10-11 класс
520
Решение
u821511235
2019-08-24 07:12:24
★
Написать комментарий
Меню
Решим всё
Найти задачу
Категории
Статьи
Тесты
Архив задач
Присоединяйся в ВК