Задать свой вопрос
*более 50 000 пользователей получили ответ на «Решим всё»
Задача 38923
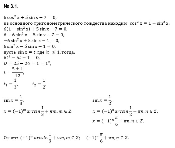
Помогите решить номер 3.1 и 3.2 ...
Условие
vk492803606
2019-08-24 05:58:14
Помогите решить номер 3.1 и 3.2
математика 10-11 класс
625
Решение
u821511235
2019-08-24 06:51:32
★
Написать комментарий
Меню
Решим всё
Найти задачу
Категории
Статьи
Тесты
Архив задач
Присоединяйся в ВК