Задать свой вопрос
*более 50 000 пользователей получили ответ на «Решим всё»
Задача 38920
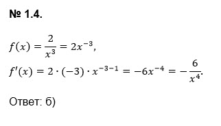
Помогите решить задание 1.3 и 1.4...
Условие
vk492803606
2019-08-24 05:38:25
Помогите решить задание 1.3 и 1.4
математика 10-11 класс
499
Решение
u821511235
2019-08-24 06:33:39
★
Написать комментарий
Меню
Решим всё
Найти задачу
Категории
Статьи
Тесты
Архив задач
Присоединяйся в ВК