Задать свой вопрос
*более 50 000 пользователей получили ответ на «Решим всё»
Задача 38911
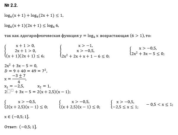
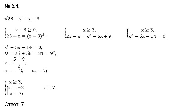
Помогите решить 2.1 и 2.2 ...
Условие
vk492803606
2019-08-23 06:51:22
Помогите решить 2.1 и 2.2
математика 10-11 класс
550
Решение
u821511235
2019-08-23 08:24:59
★
Написать комментарий
Меню
Решим всё
Найти задачу
Категории
Статьи
Тесты
Архив задач
Присоединяйся в ВК