Задать свой вопрос
*более 50 000 пользователей получили ответ на «Решим всё»
Задача 38907
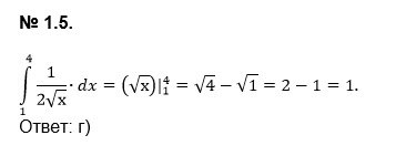
Помогите решить задание 1.5 ...
Условие
vk280770680
2019-08-23 06:41:13
Помогите решить задание 1.5
математика 10-11 класс
535
Решение
u821511235
2019-08-23 07:01:19
★
Написать комментарий
Меню
Решим всё
Найти задачу
Категории
Статьи
Тесты
Архив задач
Присоединяйся в ВК