Задать свой вопрос
*более 50 000 пользователей получили ответ на «Решим всё»
Задача 38905
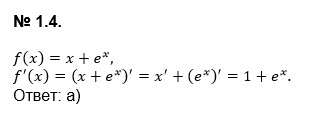
Помогите решить 1.3. и 1.4 ...
Условие
vk280770680
2019-08-23 06:35:18
Помогите решить 1.3. и 1.4
математика 10-11 класс
543
Решение
u821511235
2019-08-23 07:21:26
★
Написать комментарий
Меню
Решим всё
Найти задачу
Категории
Статьи
Тесты
Архив задач
Присоединяйся в ВК