Задать свой вопрос
*более 50 000 пользователей получили ответ на «Решим всё»
Задача 38904
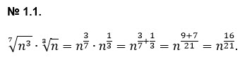
Помогите решить 1.1 и 1.2 ...
Условие
vk280770680
2019-08-23 06:34:03
Помогите решить 1.1 и 1.2
математика 10-11 класс
534
Решение
u821511235
2019-08-23 07:13:15
★
Написать комментарий
Меню
Решим всё
Найти задачу
Категории
Статьи
Тесты
Архив задач
Присоединяйся в ВК