Задать свой вопрос
*более 50 000 пользователей получили ответ на «Решим всё»
Задача 38895
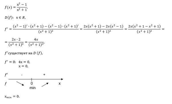
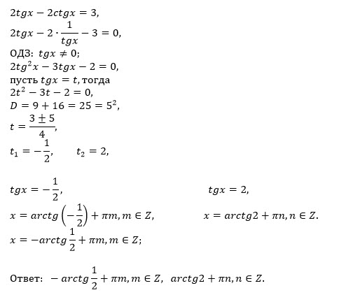
Помогите решить 3.1 и 3.2 ...
Условие
vk280770680
2019-08-22 14:23:39
Помогите решить 3.1 и 3.2
математика ВУЗ
867
Решение
u821511235
2019-08-22 16:18:33
★
Написать комментарий
Меню
Решим всё
Найти задачу
Категории
Статьи
Тесты
Архив задач
Присоединяйся в ВК