Задать свой вопрос
*более 50 000 пользователей получили ответ на «Решим всё»
Задача 38892
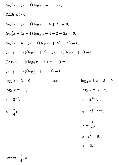
Решите уравнение log^2_2 x + (x - 1)log2...
Условие
vk280770680
2019-08-22 14:09:52
Решите уравнение log^2_2 x + (x - 1)log2 x = 6 - 2x.
математика 10-11 класс
791
Решение
u821511235
2019-08-22 17:27:13
★
Написать комментарий
Меню
Решим всё
Найти задачу
Категории
Статьи
Тесты
Архив задач
Присоединяйся в ВК