Задать свой вопрос   *более 50 000 пользователей получили ответ на «Решим всё»

Задача 38885 3.2. Найдите промежутки возрастания и...

Условие

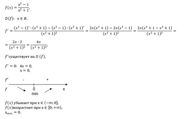
3.2. Найдите промежутки возрастания и убывания и точки экстремума функции
[m]f(x) = \frac{x^2 - 1}{x^2 + 1}[/m]

математика 10-11 класс 734

Решение

Написать комментарий

Меню

Присоединяйся в ВК