Задать свой вопрос   *более 50 000 пользователей получили ответ на «Решим всё»

Задача 38883 Решение должно содержать формулы,...

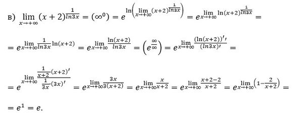
Условие

Решение должно содержать формулы, применяемые при решении задачи. Воспользуйтесь правилами дифференцирования и таблицей производных.
Используя правила Лопиталя, вычислить представленные
пределы

предмет не задан 730

Решение

Написать комментарий

Меню

Присоединяйся в ВК